Упражнение 99 Повторение ГДЗ Мерзляк 10 класс Углубленный уровень (Алгебра)
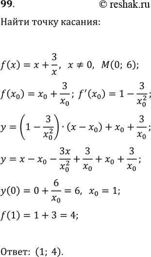
99. В какой точке графика функции y=x+3/x надо провести касательную, чтобы эта касательная пересекла ось ординат в точке (0; 6)? *Цитирирование задания со ссылкой на учебник производится исключительно в учебных целях для лучшего понимания разбора решения задания.

Ниже вариант решения задания из учебника Мерзляк, Номировский, Поляков 10 класс, Просвещение:
99. В какой точке графика функции y=x+3/x надо провести касательную, чтобы эта касательная пересекла ось ординат в точке (0; 6)?
