Упражнение 110 Повторение ГДЗ Мерзляк 11 класс Базовый уровень (Алгебра)
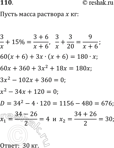
110. Водно-солевой раствор содержал 3 кг соли, концентрация которой была менее 20%. К этому раствору добавили 6 кг соли, после чего концентрация соли увеличилась на 15%.

Ниже вариант решения задания из учебника Мерзляк, Номировский, Полонский 11 класс, Просвещение:
110. Водно-солевой раствор содержал 3 кг соли, концентрация которой была менее 20%. К этому раствору добавили 6 кг соли, после чего концентрация соли увеличилась на 15%. Какой была первоначальная масса раствора?
