Упражнение 145 Повторение ГДЗ Мерзляк 11 класс Базовый уровень (Алгебра)
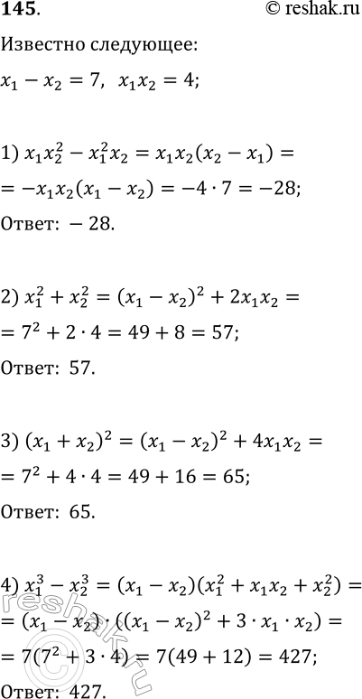
145. При некоторых значениях x_1 и x_2, выполняются равенства x_1-x_2=7, x_1 x_2=4. Найдите при этих же значениях x_1 и x_2 значение выражения:

Ниже вариант решения задания из учебника Мерзляк, Номировский, Полонский 11 класс, Просвещение:
145. При некоторых значениях x_1 и x_2, выполняются равенства x_1-x_2=7, x_1 x_2=4. Найдите при этих же значениях x_1 и x_2 значение выражения:
1) x_1 x_2^2-x_1^2 x_2; 2) x_1^2+x_2^2;
3) (x_1+x_2)^2; 4) x_1^3-x_263.
