Упражнение 146 Повторение ГДЗ Мерзляк 11 класс Базовый уровень (Алгебра)
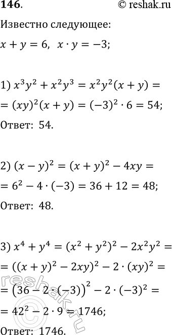
146. При некоторых значениях x и y выполняются равенства x+y=6, xy=-3. Найдите при этих же значениях х и у значение выражения:

Ниже вариант решения задания из учебника Мерзляк, Номировский, Полонский 11 класс, Просвещение:
146. При некоторых значениях x и y выполняются равенства x+y=6, xy=-3. Найдите при этих же значениях х и у значение выражения:
1) x^3 y^2+x^2 y^3; 2) (x-y)^2; 3) x^4+y^4.
