Упражнение 147 Повторение ГДЗ Мерзляк 11 класс Базовый уровень (Алгебра)
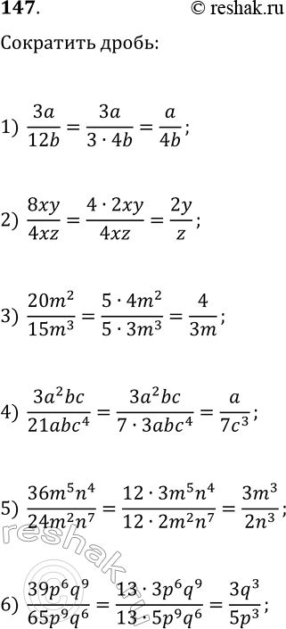
147. Сократите дробь: 1) 3a/12b; 3) 20m^2/15m^3; 5) (36m^5 n^4)/(24m^2 n^7); 2) 8xy/4xz; 4) (3a^2 bc)/21abc^4; 6) (39p^6 q^9)/(65p^9 q^6). *Цитирирование задания со ссылкой на учебник производится исключительно в учебных целях для лучшего понимания разбора решения задания.

Ниже вариант решения задания из учебника Мерзляк, Номировский, Полонский 11 класс, Просвещение:
147. Сократите дробь:
1) 3a/12b; 3) 20m^2/15m^3; 5) (36m^5 n^4)/(24m^2 n^7);
2) 8xy/4xz; 4) (3a^2 bc)/21abc^4; 6) (39p^6 q^9)/(65p^9 q^6).
