Упражнение 148 Повторение ГДЗ Мерзляк 11 класс Базовый уровень (Алгебра)
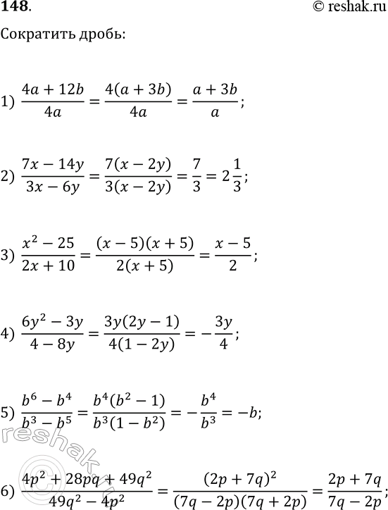
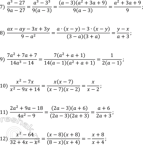
148. Сократите дробь: 1) (4a+12b)/4a; 5) (b^6-b^4)/(b^3-b^5); 9) (7a^2+7a+7)/(14a^3-14); 2) (7x-14y)/(3x-6y); 6) (4p^2+28pq+49q^2)/(49q^2-4p^2); 10) (x^2-7x)/(x^2-9x+14); 3) (x^2-25)/(2x+10); 7) (a^3-27)/(9a-27); 11) (2a^2+9a-18)/(4a^2-9);


Ниже вариант решения задания из учебника Мерзляк, Номировский, Полонский 11 класс, Просвещение:
148. Сократите дробь:
1) (4a+12b)/4a; 5) (b^6-b^4)/(b^3-b^5); 9) (7a^2+7a+7)/(14a^3-14);
2) (7x-14y)/(3x-6y); 6) (4p^2+28pq+49q^2)/(49q^2-4p^2); 10) (x^2-7x)/(x^2-9x+14);
3) (x^2-25)/(2x+10); 7) (a^3-27)/(9a-27); 11) (2a^2+9a-18)/(4a^2-9);
4) (6y^2-3y)/(4-8y); 8) (ax-ay-3x+3y)/(9-a^2); 12) (x^2-64)/(32+4x-x^2).
