Упражнение 150 Повторение ГДЗ Мерзляк 11 класс Базовый уровень (Алгебра)
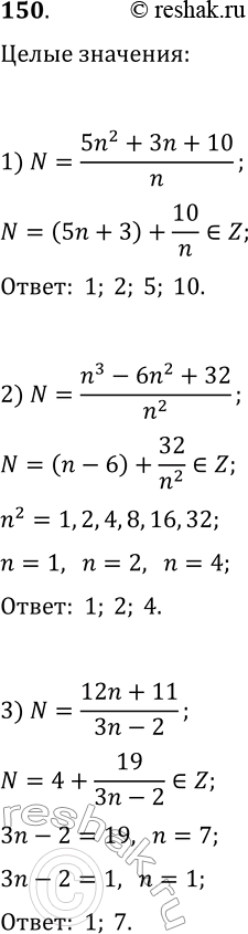
150. Найдите все натуральные значения n, при которых является целым числом значение выражения: 1) (5n^2+3n+10)/n; 2) (n^3-6n^2+32)/n^2; 3) (12n+11)/(3n-2). *Цитирирование задания со ссылкой на учебник производится исключительно в учебных целях для лучшего понимания разбора решения задания.

Ниже вариант решения задания из учебника Мерзляк, Номировский, Полонский 11 класс, Просвещение:
150. Найдите все натуральные значения n, при которых является целым числом значение выражения:
1) (5n^2+3n+10)/n; 2) (n^3-6n^2+32)/n^2; 3) (12n+11)/(3n-2).
