Упражнение 151 Повторение ГДЗ Мерзляк 11 класс Базовый уровень (Алгебра)
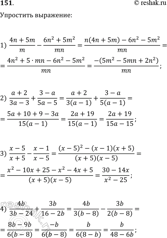
151. Упростите выражение: 1) (4n+5m)/m-(6n^2+5m^2)/(mn); 2) (a+2)/(3a-3)+(3-a)/(5a-5); 3) (x-5)/(x+5)-(x-1)/(x-5); 4) 4b/(3b-24)+3b/(16-2b); 5) 3p/(3p+q)-9p^2/(9p^2+6pq+q^2); 6) 4/(m^2-36)-2/(m^2-6m); 7) 8-(3a+8c)/c; 8) (m^2-n^2)/(m+4n)+m-4n; 9) x-49/(x-7)-7.


Ниже вариант решения задания из учебника Мерзляк, Номировский, Полонский 11 класс, Просвещение:
151. Упростите выражение:
1) (4n+5m)/m-(6n^2+5m^2)/(mn);
2) (a+2)/(3a-3)+(3-a)/(5a-5);
3) (x-5)/(x+5)-(x-1)/(x-5);
4) 4b/(3b-24)+3b/(16-2b);
5) 3p/(3p+q)-9p^2/(9p^2+6pq+q^2);
6) 4/(m^2-36)-2/(m^2-6m);
7) 8-(3a+8c)/c;
8) (m^2-n^2)/(m+4n)+m-4n;
9) x-49/(x-7)-7.
