Упражнение 152 Повторение ГДЗ Мерзляк 11 класс Базовый уровень (Алгебра)
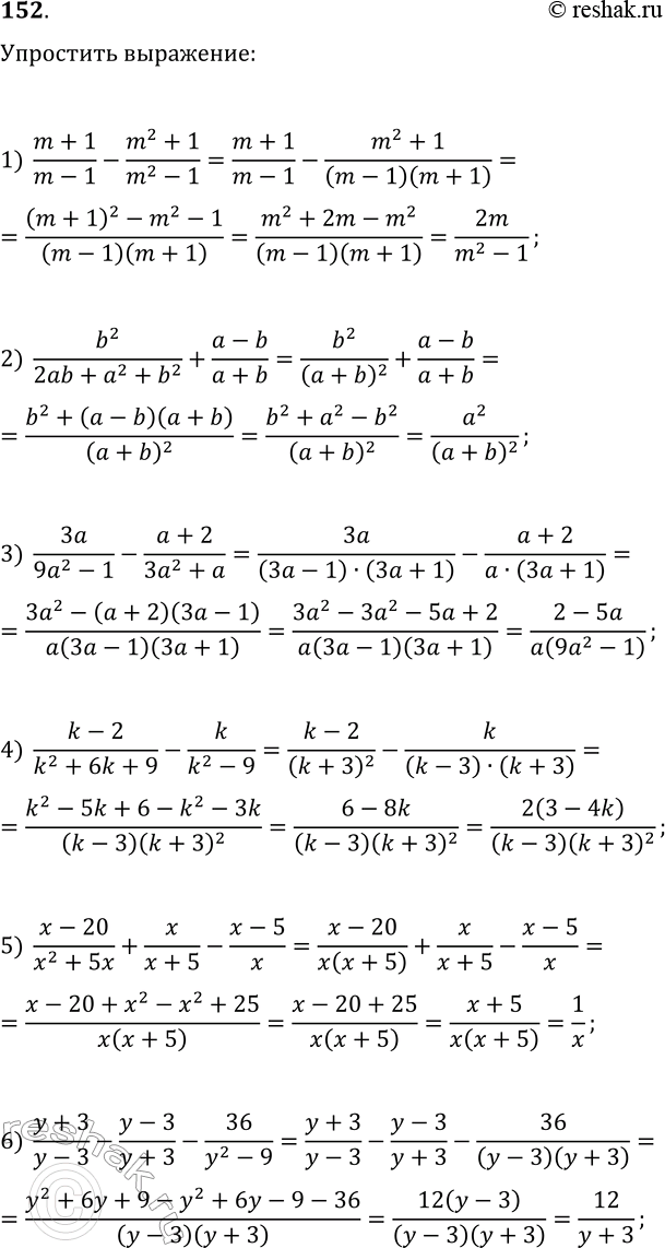
152. Упростите выражение: 1) (m+1)/(m-1)-(m^2+1)/(m^2-1); 2) b^2/(2ab+a^2+b^2)+(a-b)/(a+b); 3) 3a/(9a^2-1)-(a+2)/(3a^2+a); 4) (k-2)/(k^2+6k+9)-k/(k^2-9); 5) (x-20)/(x^2+5x)+x/(x+5)-(x-5)/x; 6) (y+3)/(y-3)-(y-3)/(y+3)-36/(y^2-9). *Цитирирование задания со ссылкой на учебник производится исключительно в учебных целях для лучшего понимания разбора решения задания.

Ниже вариант решения задания из учебника Мерзляк, Номировский, Полонский 11 класс, Просвещение:
152. Упростите выражение:
1) (m+1)/(m-1)-(m^2+1)/(m^2-1);
2) b^2/(2ab+a^2+b^2)+(a-b)/(a+b);
3) 3a/(9a^2-1)-(a+2)/(3a^2+a);
4) (k-2)/(k^2+6k+9)-k/(k^2-9);
5) (x-20)/(x^2+5x)+x/(x+5)-(x-5)/x;
6) (y+3)/(y-3)-(y-3)/(y+3)-36/(y^2-9).
