Упражнение 153 Повторение ГДЗ Мерзляк 11 класс Базовый уровень (Алгебра)
153. Докажите тождество: 1) a/(a-b)-(a+b)/a+b^2/(ab-a^2)=0; 2) (8a^2+4)/(4a^2-1)-(2a-2)/(2a+1)-(2a+1)/(2a-1)=1/(2a-1); 3) (a+5)/(a^2-5a)+(a-5)/(5a+25)+20/(25-a^2)=(a-5)/(5a); 4) (b+2)/(2a+1)-(b^2-2b)/(2ab-2+b-4a)=2/(2a+1). *Цитирирование задания со ссылкой на учебник производится исключительно в учебных целях для лучшего понимания разбора решения задания.


Ниже вариант решения задания из учебника Мерзляк, Номировский, Полонский 11 класс, Просвещение:
153. Докажите тождество:
1) a/(a-b)-(a+b)/a+b^2/(ab-a^2)=0;
2) (8a^2+4)/(4a^2-1)-(2a-2)/(2a+1)-(2a+1)/(2a-1)=1/(2a-1);
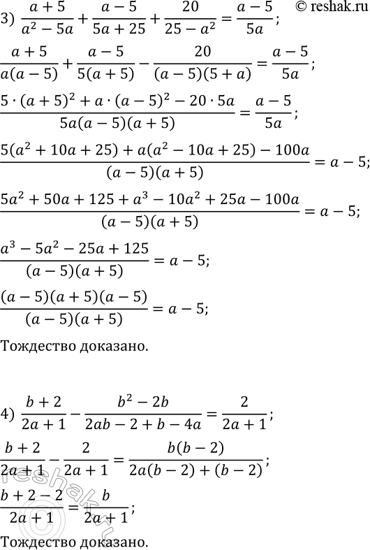
3) (a+5)/(a^2-5a)+(a-5)/(5a+25)+20/(25-a^2)=(a-5)/(5a);
4) (b+2)/(2a+1)-(b^2-2b)/(2ab-2+b-4a)=2/(2a+1).
