Упражнение 154 Повторение ГДЗ Мерзляк 11 класс Базовый уровень (Алгебра)
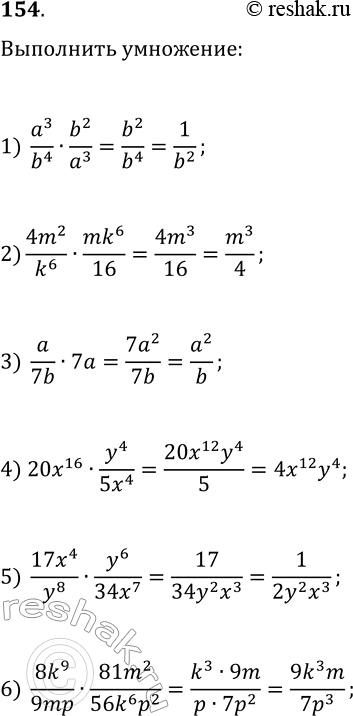
154. Выполните умножение: 1) a^3/b^4В·b^2/a^3; 2) 4m^2/k^6В·mk^6/16; 3) a/(7b)В·7a; 4) 20x^16В·y^4/(5x^4); 5) 17x^4/y^8В·y^6/(34x^7); 6) 8k^9/(9mp)В·81m^2/(56k^6 p^2). *Цитирирование задания со ссылкой на учебник производится исключительно в учебных целях для лучшего понимания разбора решения задания.

Ниже вариант решения задания из учебника Мерзляк, Номировский, Полонский 11 класс, Просвещение:
154. Выполните умножение:
1) a^3/b^4В·b^2/a^3;
2) 4m^2/k^6В·mk^6/16;
3) a/(7b)В·7a;
4) 20x^16В·y^4/(5x^4);
5) 17x^4/y^8В·y^6/(34x^7);
6) 8k^9/(9mp)В·81m^2/(56k^6 p^2).
