Упражнение 156 Повторение ГДЗ Мерзляк 11 класс Базовый уровень (Алгебра)
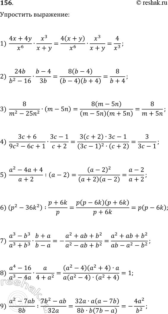
156. Упростите выражение: 1) (4x+4y)/x^6·x^3/(x+y); 2) 24b/(b^2-16)·(b-4)/(3b); 3) 8/(m^2-25n^2)·(m-5n); 4) (3c+6)/(9c^2-6c+1)·(3c-1)/(c+2); 5) (a^2-4a+4)/(a+2):(a-2); 6) (p^2-36k^2):(p+6k)/p; 7) (a^3-b^3)/(a^3+b^3)·(b+a)/(b-a); 8) (a^4-16)/(a^3-4a)·a/(4+a^2); 9) (a^2-7ab)/(8b):(7b^2-ab)/(32a).

Ниже вариант решения задания из учебника Мерзляк, Номировский, Полонский 11 класс, Просвещение:
156. Упростите выражение:
1) (4x+4y)/x^6·x^3/(x+y);
2) 24b/(b^2-16)·(b-4)/(3b);
3) 8/(m^2-25n^2)·(m-5n);
4) (3c+6)/(9c^2-6c+1)·(3c-1)/(c+2);
5) (a^2-4a+4)/(a+2):(a-2);
6) (p^2-36k^2):(p+6k)/p;
7) (a^3-b^3)/(a^3+b^3)·(b+a)/(b-a);
8) (a^4-16)/(a^3-4a)·a/(4+a^2);
9) (a^2-7ab)/(8b):(7b^2-ab)/(32a).
