Упражнение 161 Повторение ГДЗ Мерзляк 11 класс Базовый уровень (Алгебра)
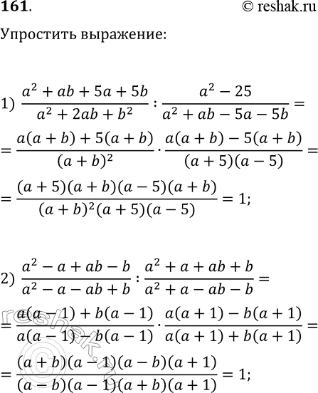
161. Упростите выражение: 1) (a^2+ab+5a+5b)/(a^2+2ab+b^2):(a^2-25)/(a^2+ab-5a-5b); 2) (a^2-a+ab-b)/(a^2-a-ab+b):(a^2+a+ab+b)/(a^2+a-ab-b). *Цитирирование задания со ссылкой на учебник производится исключительно в учебных целях для лучшего понимания разбора решения задания.

Ниже вариант решения задания из учебника Мерзляк, Номировский, Полонский 11 класс, Просвещение:
161. Упростите выражение:
1) (a^2+ab+5a+5b)/(a^2+2ab+b^2):(a^2-25)/(a^2+ab-5a-5b);
2) (a^2-a+ab-b)/(a^2-a-ab+b):(a^2+a+ab+b)/(a^2+a-ab-b).
