Упражнение 162 Повторение ГДЗ Мерзляк 11 класс Базовый уровень (Алгебра)
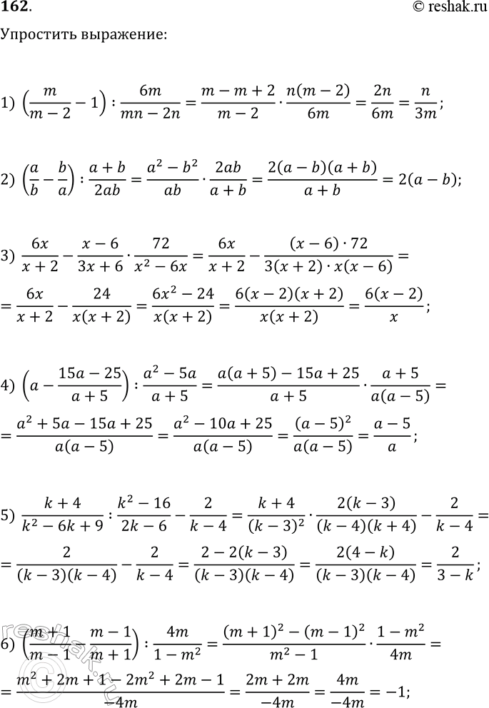
162. Упростите выражение: 1) (m/(m-2)-1):6m/(nb-2n); 2) (a/b-b/a):(a+b)/(2ab); 3) 6x/(x+2)-(x-6)/(3x+6)·72/(x^2-6x); 4) (a-(15a-25)/(a+5)):(a^2-5a)/(a+5); 5) (k+4)/(k^2-6k+9):(k^2-16)/(2k-6)-2/(k-4); 6) ((m+1)/(m-1)-(m-1)/(m+1)):4m/(1-m^2); 7) 2x/(x^2-1):(1/(x^2+2x+1)-1/(1-x^2)); 8) ((2a-6)/(a^2-4a+4)-(a-4)/(a^2-2a)):(a^2-8)/(a^3-4a); 9) (9a^2-4)/(2a^2-5a+2)·(2a-1)/(3a-2)+(a+6)/(2-a);


Ниже вариант решения задания из учебника Мерзляк, Номировский, Полонский 11 класс, Просвещение:
162. Упростите выражение:
1) (m/(m-2)-1):6m/(nb-2n);
2) (a/b-b/a):(a+b)/(2ab);
3) 6x/(x+2)-(x-6)/(3x+6)·72/(x^2-6x);
4) (a-(15a-25)/(a+5)):(a^2-5a)/(a+5);
5) (k+4)/(k^2-6k+9):(k^2-16)/(2k-6)-2/(k-4);
6) ((m+1)/(m-1)-(m-1)/(m+1)):4m/(1-m^2);
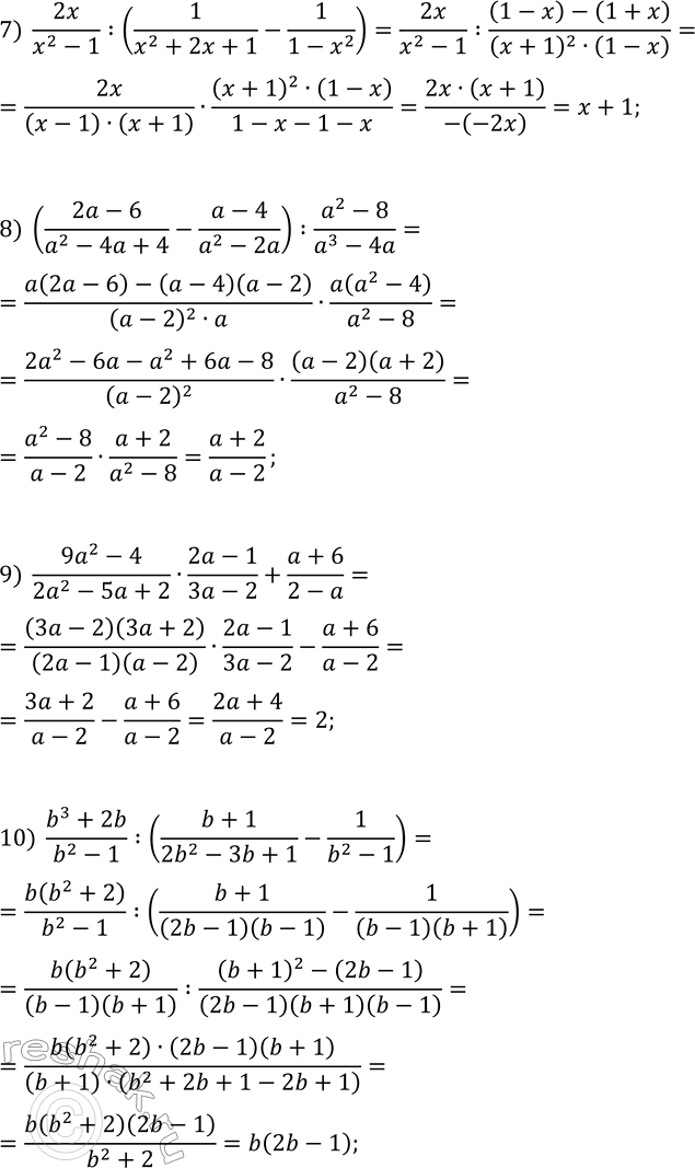
7) 2x/(x^2-1):(1/(x^2+2x+1)-1/(1-x^2));
8) ((2a-6)/(a^2-4a+4)-(a-4)/(a^2-2a)):(a^2-8)/(a^3-4a);
9) (9a^2-4)/(2a^2-5a+2)·(2a-1)/(3a-2)+(a+6)/(2-a);
10) (b^3+2b)/(b^2-1):((b+1)/(2b^2-3b+1)-1/(b^2-1)).
