Упражнение 163 Повторение ГДЗ Мерзляк 11 класс Базовый уровень (Алгебра)
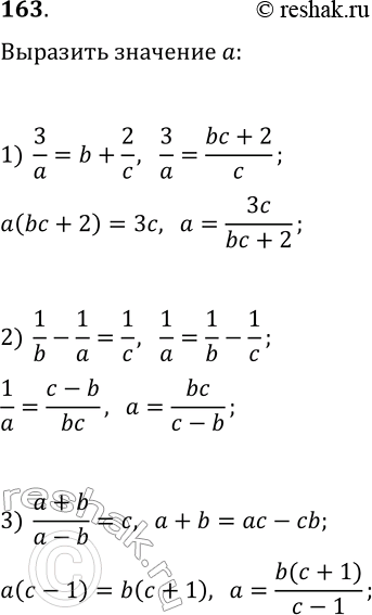
163. Из данного равенства выразите переменную а через остальные переменные: 1) 3/a=b+2/c; 2) 1/b-1/a=1/c; 3) (a+b)/(a-b)=c. *Цитирирование задания со ссылкой на учебник производится исключительно в учебных целях для лучшего понимания разбора решения задания.

Ниже вариант решения задания из учебника Мерзляк, Номировский, Полонский 11 класс, Просвещение:
163. Из данного равенства выразите переменную а через остальные переменные:
1) 3/a=b+2/c; 2) 1/b-1/a=1/c; 3) (a+b)/(a-b)=c.
