Упражнение 166 Повторение ГДЗ Мерзляк 11 класс Базовый уровень (Алгебра)
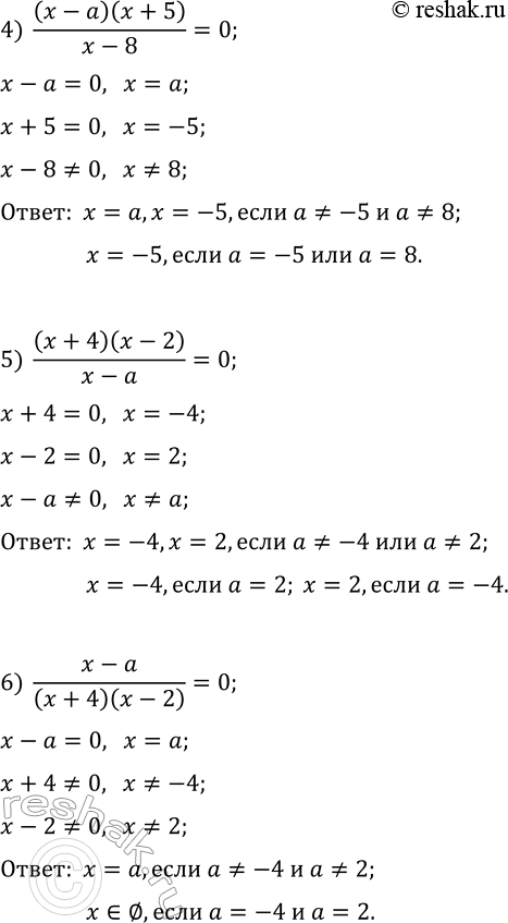
166. Для каждого значение а решите уравнение: 1) (x-4)/(x-a)=0; 3) (a-4)(x-a)/(x-3)=0; 5) (x+4)(x-2)/(x-a)=0; 2) (x-a)/(x+3)=0; 4) (x-a)(x+5)/(x-8)=0; 6) (x-a)/((x+4)(x-2))=0. *Цитирирование задания со ссылкой на учебник производится исключительно в учебных целях для лучшего понимания разбора решения задания.


Ниже вариант решения задания из учебника Мерзляк, Номировский, Полонский 11 класс, Просвещение:
166. Для каждого значение а решите уравнение:
1) (x-4)/(x-a)=0; 3) (a-4)(x-a)/(x-3)=0; 5) (x+4)(x-2)/(x-a)=0;
2) (x-a)/(x+3)=0; 4) (x-a)(x+5)/(x-8)=0; 6) (x-a)/((x+4)(x-2))=0.
