Упражнение 171 Повторение ГДЗ Мерзляк 11 класс Базовый уровень (Алгебра)
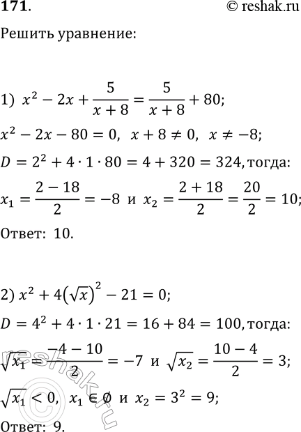
171. Решите уравнение: 1) x^2-2x+5/(x+8)=5/(x+8)+80; 2) x^2+4(vx)^2-21=0. *Цитирирование задания со ссылкой на учебник производится исключительно в учебных целях для лучшего понимания разбора решения задания.

Ниже вариант решения задания из учебника Мерзляк, Номировский, Полонский 11 класс, Просвещение:
171. Решите уравнение:
1) x^2-2x+5/(x+8)=5/(x+8)+80;
2) x^2+4(vx)^2-21=0.
