Упражнение 172 Повторение ГДЗ Мерзляк 11 класс Базовый уровень (Алгебра)
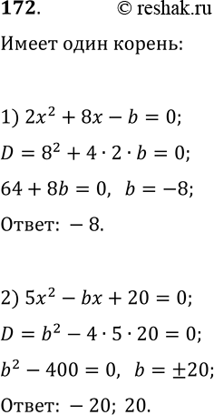
172. При каком значении b имеет один корень уравнение: 1) 2x^2+8x-b=0; 2) 5x^2-bx+20=0? *Цитирирование задания со ссылкой на учебник производится исключительно в учебных целях для лучшего понимания разбора решения задания.

Ниже вариант решения задания из учебника Мерзляк, Номировский, Полонский 11 класс, Просвещение:
172. При каком значении b имеет один корень уравнение:
1) 2x^2+8x-b=0; 2) 5x^2-bx+20=0?
