Упражнение 174 Повторение ГДЗ Мерзляк 11 класс Базовый уровень (Алгебра)
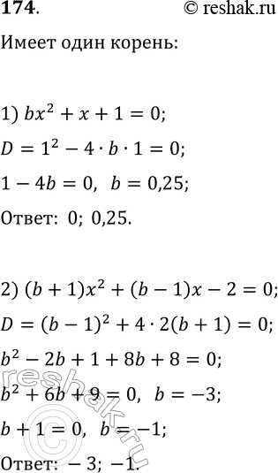
174. При каком значении b имеет один корень уравнение: 1) bx^2+x+1=0; 2) (b+1)x^2+(b-1)x-2=0? *Цитирирование задания со ссылкой на учебник производится исключительно в учебных целях для лучшего понимания разбора решения задания.

Ниже вариант решения задания из учебника Мерзляк, Номировский, Полонский 11 класс, Просвещение:
174. При каком значении b имеет один корень уравнение:
1) bx^2+x+1=0; 2) (b+1)x^2+(b-1)x-2=0?
