Упражнение 187 Повторение ГДЗ Мерзляк 11 класс Базовый уровень (Алгебра)
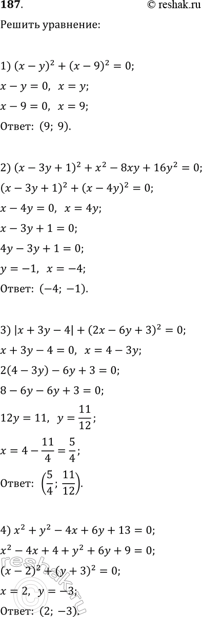
187. Решите уравнение: 1) (x-y)^2+(x-9)^2=0; 2) (x-3y+1)^2+x^2-8xy+16y^2=0; 3) |x+3y-4|+(2x-6y+3)^2=0; 4) x^2+y^2-4x+6y+13=0. *Цитирирование задания со ссылкой на учебник производится исключительно в учебных целях для лучшего понимания разбора решения задания.

Ниже вариант решения задания из учебника Мерзляк, Номировский, Полонский 11 класс, Просвещение:
187. Решите уравнение:
1) (x-y)^2+(x-9)^2=0;
2) (x-3y+1)^2+x^2-8xy+16y^2=0;
3) |x+3y-4|+(2x-6y+3)^2=0;
4) x^2+y^2-4x+6y+13=0.
