Упражнение 197 Повторение ГДЗ Мерзляк 11 класс Базовый уровень (Алгебра)
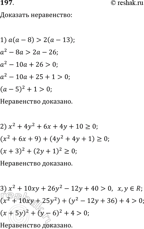
197. Докажите, что: 1) a(a-8) > 2(a-13) при всех действительных значениях а; 2) x^2+4y^2+6x+4y+10?0 при всех действительных значениях x и у;


Ниже вариант решения задания из учебника Мерзляк, Номировский, Полонский 11 класс, Просвещение:
197. Докажите, что:
1) a(a-8) > 2(a-13) при всех действительных значениях а;
2) x^2+4y^2+6x+4y+10?0 при всех действительных значениях x и у;
3) x^2+10xy+26y^2-12y+40 > 0 при всех действительных значениях х и y;
4) ab(a+b)?a^3+b^3, если a
5) m^3+2m^2-4m-8 > 0, если m > 2;
6) (a^2+5)/v(a^2+4) > 2 при всех действительных значениях а.
