Упражнение 203 Повторение ГДЗ Мерзляк 11 класс Базовый уровень (Алгебра)
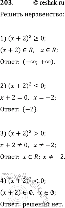
203. Каково множество решений неравенства: 1) (x+2)^2?0; 3) (x+2)^2 > 0; 5) 0x 2) (x+2)^2?0; 4) (x+2)^2 *Цитирирование задания со ссылкой на учебник производится исключительно в учебных целях для лучшего понимания разбора решения задания.
Ниже вариант решения задания из учебника Мерзляк, Номировский, Полонский 11 класс, Просвещение:
203. Каково множество решений неравенства:
1) (x+2)^2?0; 3) (x+2)^2 > 0; 5) 0x
2) (x+2)^2?0; 4) (x+2)^2


