Упражнение 204 Повторение ГДЗ Мерзляк 11 класс Базовый уровень (Алгебра)
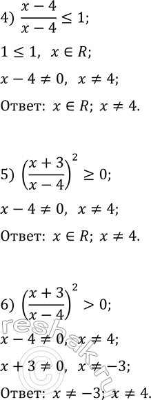
204. Решите неравенство: 1) (x-4)/(x-4) > 0; 3) (x-4)/(x-4) > 1/4; 5) ((x+3)/(x-4))^2?0; 2) (x-4)/(x-4)?0; 4) (x-4)/(x-4)?1; 6) ((x+3)/(x-4))^2 > 0.


Ниже вариант решения задания из учебника Мерзляк, Номировский, Полонский 11 класс, Просвещение:
204. Решите неравенство:
1) (x-4)/(x-4) > 0; 3) (x-4)/(x-4) > 1/4; 5) ((x+3)/(x-4))^2?0;
2) (x-4)/(x-4)?0; 4) (x-4)/(x-4)?1; 6) ((x+3)/(x-4))^2 > 0.
