Упражнение 205 Повторение ГДЗ Мерзляк 11 класс Базовый уровень (Алгебра)
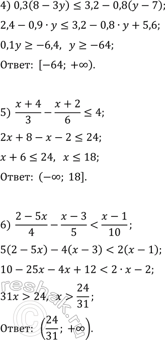
205. Решите неравенство: 1) 8x+4?30-5x; 4) 0,3(8-3y)?3,2-0,8(y-7); 2) 9-4x 3) 4/9 x+3+1/3 x-2; 6) (2-5x)/4-(x-3)/5 *Цитирирование задания со ссылкой на учебник производится исключительно в учебных целях для лучшего понимания разбора решения задания.
Ниже вариант решения задания из учебника Мерзляк, Номировский, Полонский 11 класс, Просвещение:
205. Решите неравенство:
1) 8x+4?30-5x; 4) 0,3(8-3y)?3,2-0,8(y-7);
2) 9-4x
3) 4/9 x+3+1/3 x-2; 6) (2-5x)/4-(x-3)/5


