Упражнение 219 Повторение ГДЗ Мерзляк 11 класс Базовый уровень (Алгебра)
219. Решите неравенство: 1) x^2-6x-7 2) x^2+2x-48?0; 8) 4x^2-49 > 0; 3) -x^2+6x-5 > 0; 9) 2x^2-x+1 > 0; 4) -x^2-4x-3 5) 3x^2-7x+4?0;
Ниже вариант решения задания из учебника Мерзляк, Номировский, Полонский 11 класс, Просвещение:
219. Решите неравенство:
1) x^2-6x-7
2) x^2+2x-48?0; 8) 4x^2-49 > 0;
3) -x^2+6x-5 > 0; 9) 2x^2-x+1 > 0;
4) -x^2-4x-3
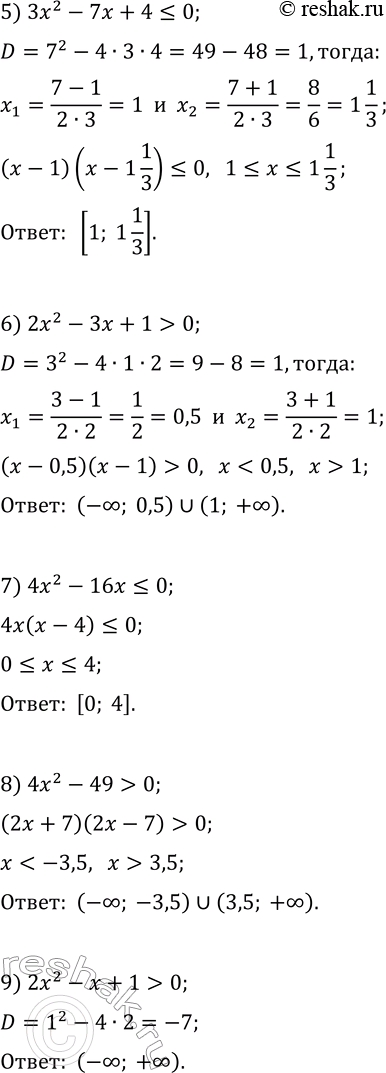
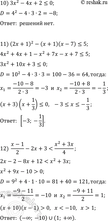
5) 3x^2-7x+4?0; 11) (2x+1)^2-(x+1)(x-7)?5;
6) 2x^2-3x+1 > 0; 12) (x-1)/2-2x+3



