Упражнение 222 Повторение ГДЗ Мерзляк 11 класс Базовый уровень (Алгебра)
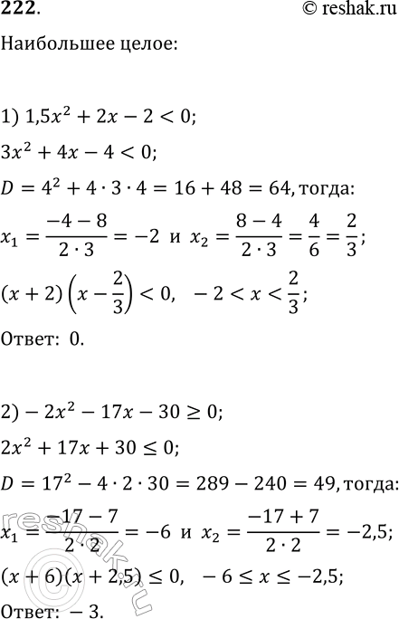
222. Найдите наибольшее целое решение неравенства: 1) 1,5x^2+2x-2 *Цитирирование задания со ссылкой на учебник производится исключительно в учебных целях для лучшего понимания разбора решения задания.

Ниже вариант решения задания из учебника Мерзляк, Номировский, Полонский 11 класс, Просвещение:
222. Найдите наибольшее целое решение неравенства:
1) 1,5x^2+2x-2
