Упражнение 227 Повторение ГДЗ Мерзляк 11 класс Базовый уровень (Алгебра)
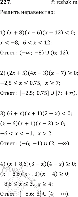
227. Решите неравенство: 1) (x+8)(x-6)(x-12) 2) (2x+5)(4x-3)(x-7)?0; 3) (6+x)(x+1)(2-x) 4) (x+8,6)(3-x)(4-x)?0; 5) (x-3)/(x-8)?0; 6) (6-x)/(x-4)?0; 7) (x+9)(x+2)/(x-9)?0; 8) (x-5)/((x+6)(x-12))?0. *Цитирирование задания со ссылкой на учебник производится исключительно в учебных целях для лучшего понимания разбора решения задания.
Ниже вариант решения задания из учебника Мерзляк, Номировский, Полонский 11 класс, Просвещение:
227. Решите неравенство:
1) (x+8)(x-6)(x-12)
2) (2x+5)(4x-3)(x-7)?0;
3) (6+x)(x+1)(2-x)
4) (x+8,6)(3-x)(4-x)?0;
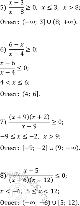
5) (x-3)/(x-8)?0;
6) (6-x)/(x-4)?0;
7) (x+9)(x+2)/(x-9)?0;
8) (x-5)/((x+6)(x-12))?0.


