Упражнение 228 Повторение ГДЗ Мерзляк 11 класс Базовый уровень (Алгебра)
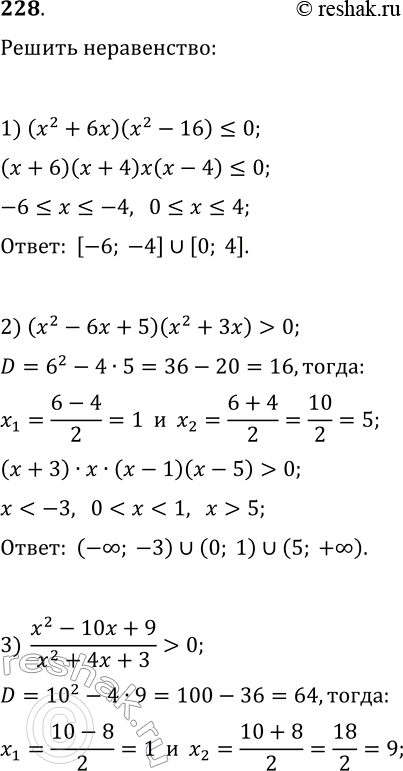
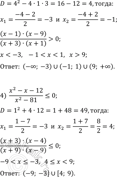
228. Найдите множество решений неравенства: 1) (x^2+6x)(x^2-16)?0; 3) (x^2-10x+9)/(x^2+4x+3) > 0; 2) (x^2-6x+5)(x^2+3x) > 0; 4) (x^2-x-12)/(x^2-81)?0. *Цитирирование задания со ссылкой на учебник производится исключительно в учебных целях для лучшего понимания разбора решения задания.


Ниже вариант решения задания из учебника Мерзляк, Номировский, Полонский 11 класс, Просвещение:
228. Найдите множество решений неравенства:
1) (x^2+6x)(x^2-16)?0; 3) (x^2-10x+9)/(x^2+4x+3) > 0;
2) (x^2-6x+5)(x^2+3x) > 0; 4) (x^2-x-12)/(x^2-81)?0.
