Упражнение 229 Повторение ГДЗ Мерзляк 11 класс Базовый уровень (Алгебра)
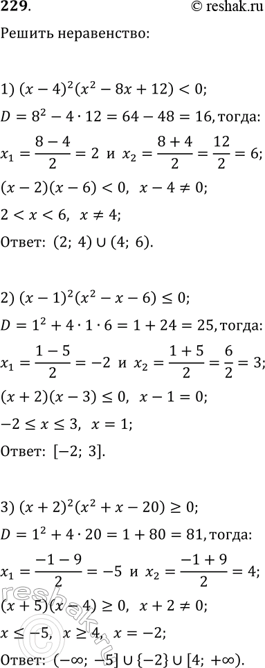
229. Решите неравенство: 1) (x-4)^2 (x^2-8x+12) 2) (x-1)^2 (x^2-x-6)?0; 3) (x+2)^2 (x^2+x-20)?0; 4) (x+5)^2 (x^2+2x-3) > 0; 5) (x-5)^2 (x^2-x-6)?0; 6) (x-6)^2 (x^2-2x-15)?0;
Ниже вариант решения задания из учебника Мерзляк, Номировский, Полонский 11 класс, Просвещение:
229. Решите неравенство:
1) (x-4)^2 (x^2-8x+12)
2) (x-1)^2 (x^2-x-6)?0;
3) (x+2)^2 (x^2+x-20)?0;
4) (x+5)^2 (x^2+2x-3) > 0;
5) (x-5)^2 (x^2-x-6)?0;
6) (x-6)^2 (x^2-2x-15)?0;
7) (x-2)^2 (x-3)^4 (x-3)^3?0;
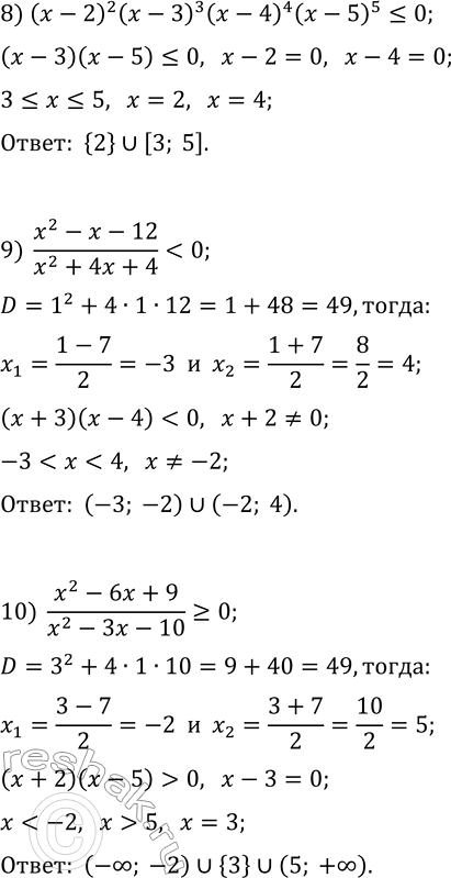
8) (x-2)^2 (x-3)^3 (x-4)^4 (x-5)^5?0;
9) (x^2-x-12)/(x^2+4x+4)
10) (x^2-6x+9)/(x^2-3x-10)?0.



