Упражнение 230 Повторение ГДЗ Мерзляк 11 класс Базовый уровень (Алгебра)
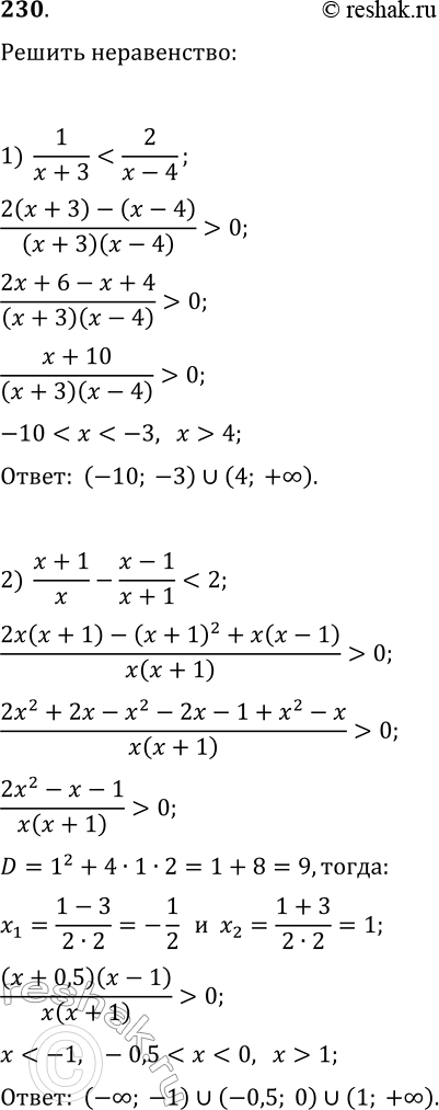
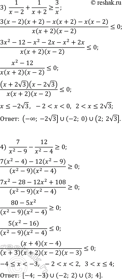
230. Решите неравенство: 1) 1/(x+3) 2) (x+1)/x-(x-1)/(x+1) *Цитирирование задания со ссылкой на учебник производится исключительно в учебных целях для лучшего понимания разбора решения задания.
Ниже вариант решения задания из учебника Мерзляк, Номировский, Полонский 11 класс, Просвещение:
230. Решите неравенство:
1) 1/(x+3)
2) (x+1)/x-(x-1)/(x+1)


