Упражнение 231 Повторение ГДЗ Мерзляк 11 класс Базовый уровень (Алгебра)
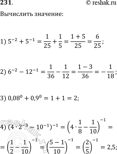
231. Чему равно значение выражения: 1) 5^(-2)+5^(-1); 3) 0,08^0+0,9^0; 2) 6^(-2)-12^(-1); 4) (4·2^(-3)-10^(-1))^(-1)? *Цитирирование задания со ссылкой на учебник производится исключительно в учебных целях для лучшего понимания разбора решения задания.

Ниже вариант решения задания из учебника Мерзляк, Номировский, Полонский 11 класс, Просвещение:
231. Чему равно значение выражения:
1) 5^(-2)+5^(-1); 3) 0,08^0+0,9^0;
2) 6^(-2)-12^(-1); 4) (4·2^(-3)-10^(-1))^(-1)?
