Упражнение 233 Повторение ГДЗ Мерзляк 11 класс Базовый уровень (Алгебра)
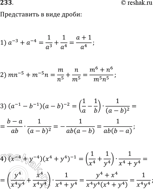
233. Представьте в виде дроби выражение: 1) a^(-3)+a^(-4); 3) (a^(-1)-b^(-1))·(a-b)^(-2); 2) mn^(-5)+m^(-5) n; 4) (x^(-4)+y^(-4))·(x^4+y^4)^(-1). *Цитирирование задания со ссылкой на учебник производится исключительно в учебных целях для лучшего понимания разбора решения задания.

Ниже вариант решения задания из учебника Мерзляк, Номировский, Полонский 11 класс, Просвещение:
233. Представьте в виде дроби выражение:
1) a^(-3)+a^(-4); 3) (a^(-1)-b^(-1))·(a-b)^(-2);
2) mn^(-5)+m^(-5) n; 4) (x^(-4)+y^(-4))·(x^4+y^4)^(-1).
