Упражнение 235 Повторение ГДЗ Мерзляк 11 класс Базовый уровень (Алгебра)
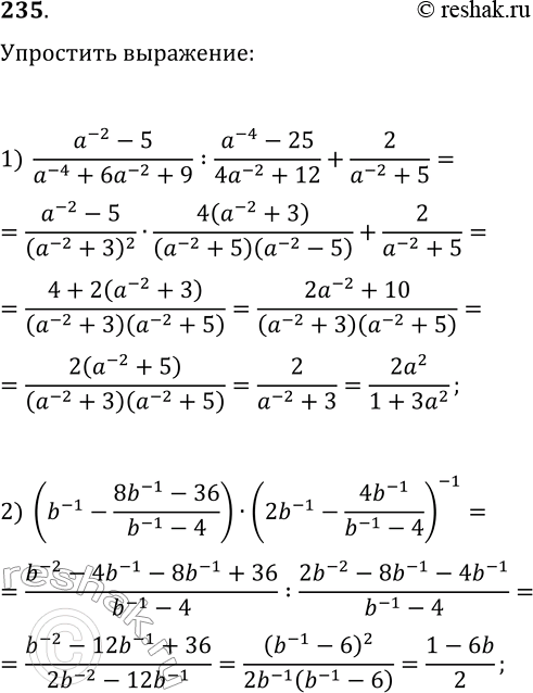
235. Упростите выражение и запишите результат в виде рационального выражения, не содержащего степени с отрицательным показателем: 1) (a^(-2)-5)/(a^-(-4)+6a^(-2)+9):(a^(-4)-25)/(4a^(-2)+12)+2/(a^(-2)+5); 2) (b^(-1)-(8b^(-1)-36)/(b^(-1)-4))·(2b^(-1)-4b^(-1)/(b^(-1)-4))^(-1). *Цитирирование задания со ссылкой на учебник производится исключительно в учебных целях для лучшего понимания разбора решения задания.

Ниже вариант решения задания из учебника Мерзляк, Номировский, Полонский 11 класс, Просвещение:
235. Упростите выражение и запишите результат в виде рационального выражения, не содержащего степени с отрицательным показателем:
1) (a^(-2)-5)/(a^-(-4)+6a^(-2)+9):(a^(-4)-25)/(4a^(-2)+12)+2/(a^(-2)+5);
2) (b^(-1)-(8b^(-1)-36)/(b^(-1)-4))·(2b^(-1)-4b^(-1)/(b^(-1)-4))^(-1).
