Упражнение 236 Повторение ГДЗ Мерзляк 11 класс Базовый уровень (Алгебра)
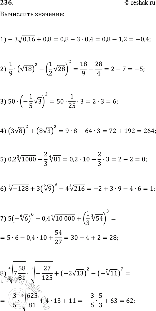
236. Найдите значение выражения: 1) -3v0,16+0,8; 5) 0,2 1000^(1/3)-2/3 81^(1/4); 2) 1/9·(v18)^2-(1/2 v28)^2; 6) (-128)^(1/7)+3(9^(1/9))^9-4 216^(1/3); 3) 50·(-1/5 v3)^2; 7) 5(-6^(1/6))^6-0,4 10000%(1/4)+(1/3 54^(1/3))^3;

Ниже вариант решения задания из учебника Мерзляк, Номировский, Полонский 11 класс, Просвещение:
236. Найдите значение выражения:
1) -3v0,16+0,8; 5) 0,2 1000^(1/3)-2/3 81^(1/4);
2) 1/9·(v18)^2-(1/2 v28)^2; 6) (-128)^(1/7)+3(9^(1/9))^9-4 216^(1/3);
3) 50·(-1/5 v3)^2; 7) 5(-6^(1/6))^6-0,4 10000%(1/4)+(1/3 54^(1/3))^3;
4) (3v8)^2+(8v3)^2; 8) (7 58/81)^(1/4)·(-27/125)^(1/3)+(-2v13)^2-(-11^(1/7))^7.
