Упражнение 237 Повторение ГДЗ Мерзляк 11 класс Базовый уровень (Алгебра)
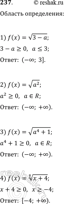
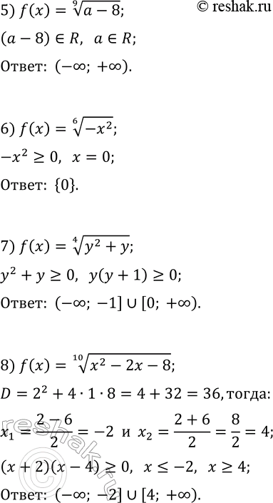
237. При каких значениях переменной имеет смысл выражение 1) v(3-a); 2) va^2; 3) v(a^4+1); 4) (x+4)^(1/8); 5) (a-8)^(1/9); 6) (-x^2)^(1/6); 7) (y^2+y)^(1/4);


Ниже вариант решения задания из учебника Мерзляк, Номировский, Полонский 11 класс, Просвещение:
237. При каких значениях переменной имеет смысл выражение
1) v(3-a); 2) va^2; 3) v(a^4+1);
4) (x+4)^(1/8); 5) (a-8)^(1/9); 6) (-x^2)^(1/6);
7) (y^2+y)^(1/4); 8) (x^2-2x-8)^(1/10).
