Упражнение 238 Повторение ГДЗ Мерзляк 11 класс Базовый уровень (Алгебра)
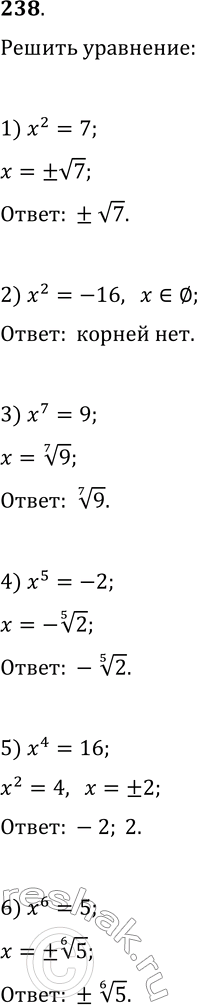
238. Решите уравнение: 1) x^2=7; 3) x^7=9; 5) x^4=16; 2) x^2=-16; 4) x^5=-2; 6) x^6=5. *Цитирирование задания со ссылкой на учебник производится исключительно в учебных целях для лучшего понимания разбора решения задания.

Ниже вариант решения задания из учебника Мерзляк, Номировский, Полонский 11 класс, Просвещение:
238. Решите уравнение:
1) x^2=7; 3) x^7=9; 5) x^4=16;
2) x^2=-16; 4) x^5=-2; 6) x^6=5.
