Упражнение 239 Повторение ГДЗ Мерзляк 11 класс Базовый уровень (Алгебра)
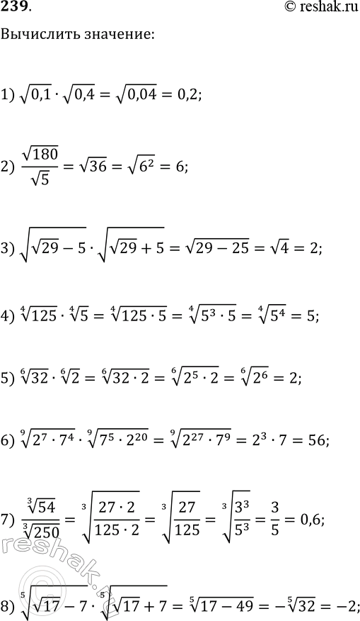
239. Найдите значение выражения: 1) v0,1·v0,4; 5) 32^(1/6)·2^(1/6); 2) v180/v5; 6) (2^7·7^4)^(1/9)·(7^5·2^20)^(1/9); 3) v(v29-5)·v(v29+5); 7) 54^(1/3)/250^(1/3); 4) 125^(1/4)·5^(1/4); 8) (v17-7)^(1/5)·(v17+7)^(1/5). *Цитирирование задания со ссылкой на учебник производится исключительно в учебных целях для лучшего понимания разбора решения задания.

Ниже вариант решения задания из учебника Мерзляк, Номировский, Полонский 11 класс, Просвещение:
239. Найдите значение выражения:
1) v0,1·v0,4; 5) 32^(1/6)·2^(1/6);
2) v180/v5; 6) (2^7·7^4)^(1/9)·(7^5·2^20)^(1/9);
3) v(v29-5)·v(v29+5); 7) 54^(1/3)/250^(1/3);
4) 125^(1/4)·5^(1/4); 8) (v17-7)^(1/5)·(v17+7)^(1/5).
