Упражнение 240 Повторение ГДЗ Мерзляк 11 класс Базовый уровень (Алгебра)
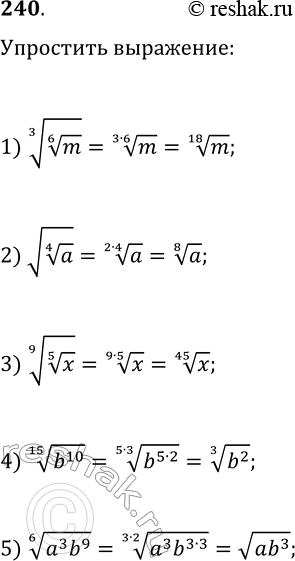
240. Упростите выражение: 1) (m^(1/6))^(1/3); 2) v(a^(1/4)); 3) (x^(1/5))^(1/9); 4) (b^10)^(1/15); 5) (a^3 b^9)^(1/6). *Цитирирование задания со ссылкой на учебник производится исключительно в учебных целях для лучшего понимания разбора решения задания.

Ниже вариант решения задания из учебника Мерзляк, Номировский, Полонский 11 класс, Просвещение:
240. Упростите выражение:
1) (m^(1/6))^(1/3); 2) v(a^(1/4));
3) (x^(1/5))^(1/9); 4) (b^10)^(1/15);
5) (a^3 b^9)^(1/6).
