Упражнение 241 Повторение ГДЗ Мерзляк 11 класс Базовый уровень (Алгебра)
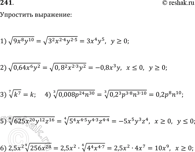
241. Упростите выражение: 1) v(9x^8 y^10), если y?0; 2) v(0,64x^6 y^2), если x?0, y?0; 3) (k^7)^(1/7); 4) (0,008p^24 n^30)^(1/3); 5) (625x^20 y^12 z^16)^(1/4), если x?0, y?0;

Ниже вариант решения задания из учебника Мерзляк, Номировский, Полонский 11 класс, Просвещение:
241. Упростите выражение:
1) v(9x^8 y^10), если y?0;
2) v(0,64x^6 y^2), если x?0, y?0;
3) (k^7)^(1/7);
4) (0,008p^24 n^30)^(1/3);
5) (625x^20 y^12 z^16)^(1/4), если x?0, y?0;
6) 2,5x^2 (256x^28)^(1/4), если x?0.
