Упражнение 245 Повторение ГДЗ Мерзляк 11 класс Базовый уровень (Алгебра)
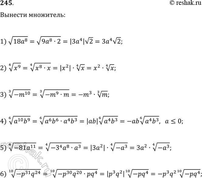
245. Вынесите множитель из-под знака корня: 1) v(18a^8); 3) ((-m)^10)^(1/3); 5) (-81a^11)^(1/4); 2) (x^9)^(1/4); 4) (a^10 b^9)^(1/6), если a?0; 6) (-p^31 q^24)^(1/10).

Ниже вариант решения задания из учебника Мерзляк, Номировский, Полонский 11 класс, Просвещение:
245. Вынесите множитель из-под знака корня:
1) v(18a^8); 3) ((-m)^10)^(1/3); 5) (-81a^11)^(1/4);
2) (x^9)^(1/4); 4) (a^10 b^9)^(1/6), если a?0;
6) (-p^31 q^24)^(1/10).
