Упражнение 248 Повторение ГДЗ Мерзляк 11 класс Базовый уровень (Алгебра)
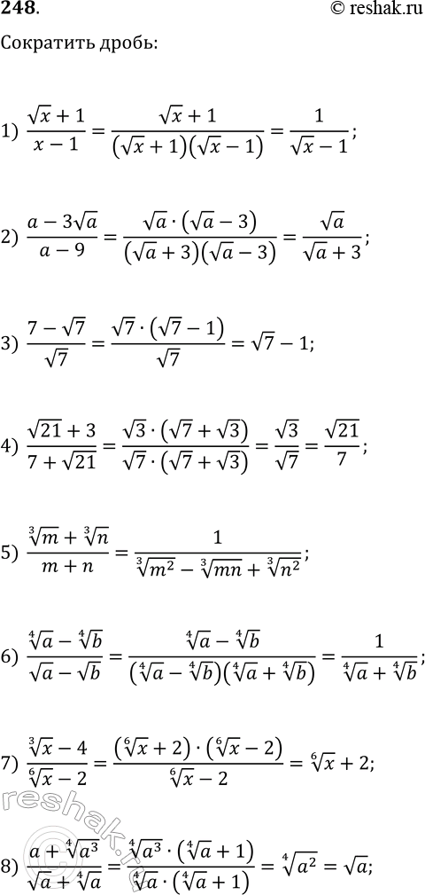
248. Сократите дробь: 1) (vx+1)/(x-1); 2) (a-3va)/(a-9); 3) (7-v7)/v7; 4) (v21+3)/(7+v21); 5) (m^(1/3)+n^(1/3))/(m+n); 6) (a^(1/4)-b^(1/4))/(va-vb); 7) (x^(1/3)-4)/(x^(1/6)-2); 8) (a+(a^3)^(1/4))/(va+a^(1/4). *Цитирирование задания со ссылкой на учебник производится исключительно в учебных целях для лучшего понимания разбора решения задания.

Ниже вариант решения задания из учебника Мерзляк, Номировский, Полонский 11 класс, Просвещение:
248. Сократите дробь:
1) (vx+1)/(x-1); 2) (a-3va)/(a-9);
3) (7-v7)/v7; 4) (v21+3)/(7+v21);
5) (m^(1/3)+n^(1/3))/(m+n);
6) (a^(1/4)-b^(1/4))/(va-vb);
7) (x^(1/3)-4)/(x^(1/6)-2);
8) (a+(a^3)^(1/4))/(va+a^(1/4).
