Упражнение 251 Повторение ГДЗ Мерзляк 11 класс Базовый уровень (Алгебра)
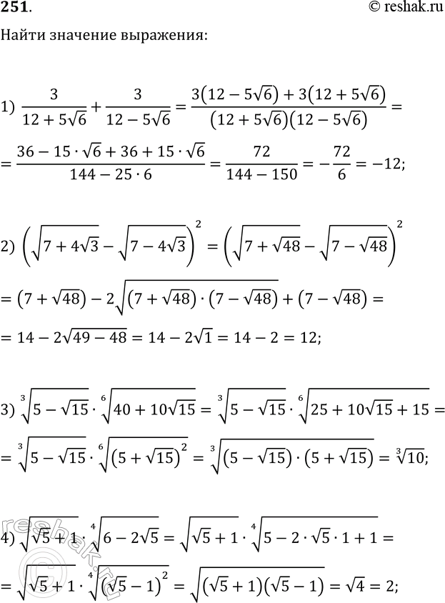
251. Найдите значение выражения: 1) 3/(12+5v6)+3/(12-5v6); 2) (v(7+4v3)-v(7-4v3))^2; 3) (5-v15)^(1/3)·(40+10v15)^(1/6); 4) v(v5+1)·(6-2v5)^(1/4). *Цитирирование задания со ссылкой на учебник производится исключительно в учебных целях для лучшего понимания разбора решения задания.

Ниже вариант решения задания из учебника Мерзляк, Номировский, Полонский 11 класс, Просвещение:
251. Найдите значение выражения:
1) 3/(12+5v6)+3/(12-5v6);
2) (v(7+4v3)-v(7-4v3))^2;
3) (5-v15)^(1/3)·(40+10v15)^(1/6);
4) v(v5+1)·(6-2v5)^(1/4).
