Упражнение 252 Повторение ГДЗ Мерзляк 11 класс Базовый уровень (Алгебра)
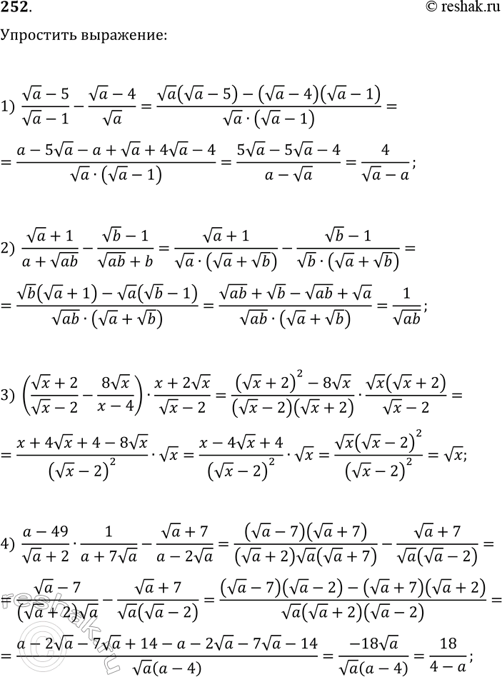
252. Упростите выражение: 1) (va-5)/v(a-1)-(va-4)/va; 2) (va+1)/(a+v(ab))-(vb-1)/(v(ab)+b); 3) ((vx+2)/(vx-2)-8vx/(x-4))·(x+2vx)/(vx-2); 4) (a-49)/(va+2)·1/(a+7va)-(va+7)/(a-2va). *Цитирирование задания со ссылкой на учебник производится исключительно в учебных целях для лучшего понимания разбора решения задания.

Ниже вариант решения задания из учебника Мерзляк, Номировский, Полонский 11 класс, Просвещение:
252. Упростите выражение:
1) (va-5)/v(a-1)-(va-4)/va;
2) (va+1)/(a+v(ab))-(vb-1)/(v(ab)+b);
3) ((vx+2)/(vx-2)-8vx/(x-4))·(x+2vx)/(vx-2);
4) (a-49)/(va+2)·1/(a+7va)-(va+7)/(a-2va).
