Упражнение 253 Повторение ГДЗ Мерзляк 11 класс Базовый уровень (Алгебра)
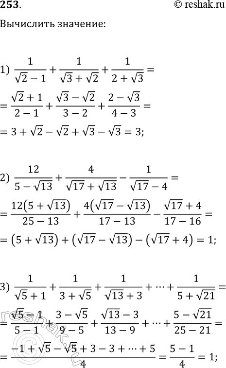
253. Найдите значение выражения: 1) 1/(v2-1)+1/(v3+v2)+1/(2+v3); 2) 12/(5-v13)+4/(v17+v13)-1/(v17-4); 3) 1/(v5+1)+1/(3+v5)+1/(v13+3)+...+1/(5+v21). *Цитирирование задания со ссылкой на учебник производится исключительно в учебных целях для лучшего понимания разбора решения задания.

Ниже вариант решения задания из учебника Мерзляк, Номировский, Полонский 11 класс, Просвещение:
253. Найдите значение выражения:
1) 1/(v2-1)+1/(v3+v2)+1/(2+v3);
2) 12/(5-v13)+4/(v17+v13)-1/(v17-4);
3) 1/(v5+1)+1/(3+v5)+1/(v13+3)+...+1/(5+v21).
