Упражнение 254 Повторение ГДЗ Мерзляк 11 класс Базовый уровень (Алгебра)
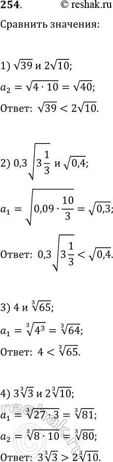
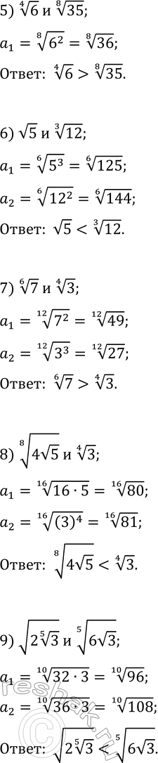
254. Сравните: 1) v39 и 2v10; 4) 3 3^(1/3) и 2 10^(1/3); 7) 7^(1/6) и 3^(1/4); 2) 0,3v(3 1/3) и v0,4;


Ниже вариант решения задания из учебника Мерзляк, Номировский, Полонский 11 класс, Просвещение:
254. Сравните:
1) v39 и 2v10; 4) 3 3^(1/3) и 2 10^(1/3); 7) 7^(1/6) и 3^(1/4);
2) 0,3v(3 1/3) и v0,4; 5) 6^(1/4) и 35^(1/8); 8) (4v5)^(1/8) и 3^(1/4);
3) 4 и 65^(1/3); 6) v5 и 12^(1/3); 9) v(2 3^(1/5)) и (6v3)^(1/5).
