Упражнение 26 Повторение ГДЗ Мерзляк 11 класс Базовый уровень (Алгебра)
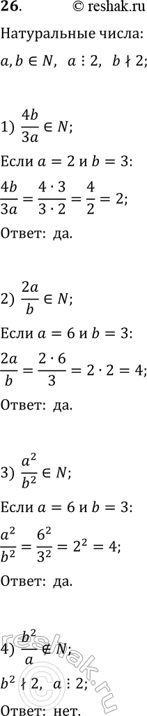
26. Натуральные числа а и b таковы, что а — чётное, b — нечётное. Значение какого изданных выражений не может быть натуральным числом:

Ниже вариант решения задания из учебника Мерзляк, Номировский, Полонский 11 класс, Просвещение:
26. Натуральные числа а и b таковы, что а — чётное, b — нечётное. Значение какого изданных выражений не может быть натуральным числом:
1) 4b/3a; 2) 2a/b; 3) (a^2)/b^2; 4) (b^2)/a?
