Упражнение 260 Повторение ГДЗ Мерзляк 11 класс Базовый уровень (Алгебра)
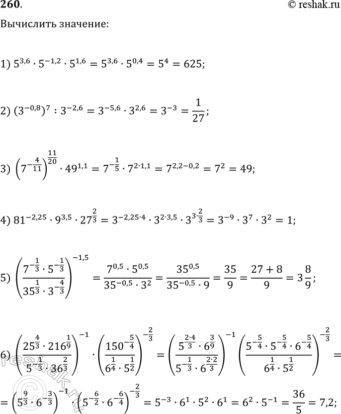
260. Найдите значение выражения: 1) 5^3,6·5^(-1,2)·5^1,6; 4) 81^(-2,25)·9^3,5·27^(2/3); 2) (3^(-0,8))^7:3^(-2,6); 5) (7^(-1/3)·5^(-1/3)/(35^(1/3)·3^(-4/3))^(-1,5); 3) (7^(-4/11))^11/20·49^1,1; 6) (25^(4/3)·216^(1/9)/(5^(-1/3)·36^(2/3))^(-1)·(150^(-5/4)/(6^(1/4)·5^(1/2))^(-2/3). *Цитирирование задания со ссылкой на учебник производится исключительно в учебных целях для лучшего понимания разбора решения задания.

Ниже вариант решения задания из учебника Мерзляк, Номировский, Полонский 11 класс, Просвещение:
260. Найдите значение выражения:
1) 5^3,6·5^(-1,2)·5^1,6; 4) 81^(-2,25)·9^3,5·27^(2/3);
2) (3^(-0,8))^7:3^(-2,6); 5) (7^(-1/3)·5^(-1/3)/(35^(1/3)·3^(-4/3))^(-1,5);
3) (7^(-4/11))^11/20·49^1,1;
6) (25^(4/3)·216^(1/9)/(5^(-1/3)·36^(2/3))^(-1)·(150^(-5/4)/(6^(1/4)·5^(1/2))^(-2/3).
