Упражнение 261 Повторение ГДЗ Мерзляк 11 класс Базовый уровень (Алгебра)
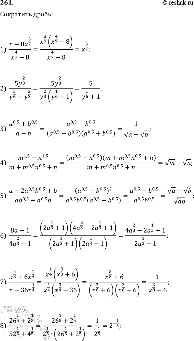
261. Сократите дробь: 1) (x-8x^(3/7))/(x^(4/7)-8; 2) 5y^(2/3)/(y^(5/6)+y^(2/3)); 3) (a^0,5+b^0,5)/(a-b); 4) (m^1,5-n^1,5)/(m+m^0,5 n^0,5+n); 5) (a-2a^0,5 b^0,5+b)/(ab^0,5-a^0,5 b); 6) (8a+1)/(4a^(2/3)-1); 7) (x^(5/8)+6x^(1/4))/(x-36x^(1/4)); 8) (26^(1/5)+2^(1/5))/(52^(1/5)+4^(1/5)).

Ниже вариант решения задания из учебника Мерзляк, Номировский, Полонский 11 класс, Просвещение:
261. Сократите дробь:
1) (x-8x^(3/7))/(x^(4/7)-8;
2) 5y^(2/3)/(y^(5/6)+y^(2/3));
3) (a^0,5+b^0,5)/(a-b);
4) (m^1,5-n^1,5)/(m+m^0,5 n^0,5+n);
5) (a-2a^0,5 b^0,5+b)/(ab^0,5-a^0,5 b);
6) (8a+1)/(4a^(2/3)-1);
7) (x^(5/8)+6x^(1/4))/(x-36x^(1/4));
8) (26^(1/5)+2^(1/5))/(52^(1/5)+4^(1/5)).
