Упражнение 268 Повторение ГДЗ Мерзляк 11 класс Базовый уровень (Алгебра)
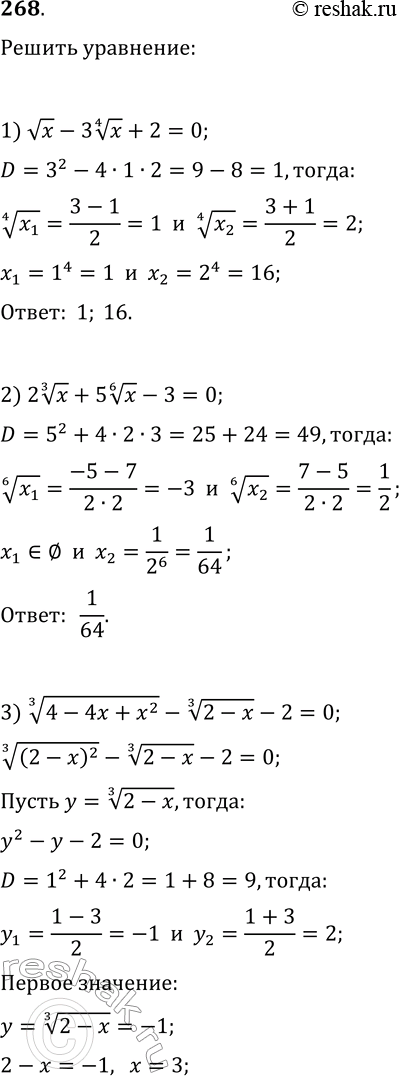
268. Решите уравнение: 1) vx-3x^(1/4)+2=0; 4) x^2-16x-v(x^2-16x+8)=12; 2) 2x^(1/3)+5x^(1/6)-3=0; 5) v(3x/(x-1))-2v((x-1)/(3x))=1; 3) (4-4x+x^2)^(1/3)-(2-x)^(1/3)-2=0; 6) v(3x^2-6x+7)=7+2x-x^2. *Цитирирование задания со ссылкой на учебник производится исключительно в учебных целях для лучшего понимания разбора решения задания.



Ниже вариант решения задания из учебника Мерзляк, Номировский, Полонский 11 класс, Просвещение:
268. Решите уравнение:
1) vx-3x^(1/4)+2=0; 4) x^2-16x-v(x^2-16x+8)=12;
2) 2x^(1/3)+5x^(1/6)-3=0; 5) v(3x/(x-1))-2v((x-1)/(3x))=1;
3) (4-4x+x^2)^(1/3)-(2-x)^(1/3)-2=0;
6) v(3x^2-6x+7)=7+2x-x^2.
