Упражнение 272 Повторение ГДЗ Мерзляк 11 класс Базовый уровень (Алгебра)
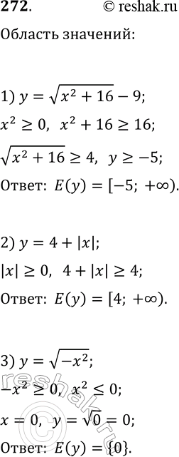
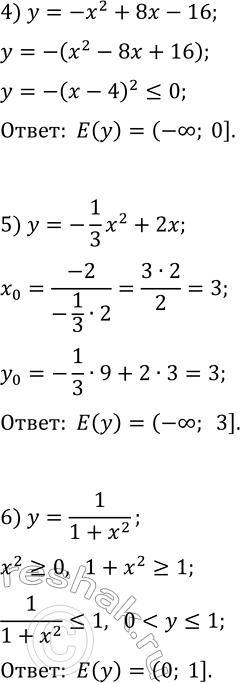
272. Найдите область значений функции: 1) y=v(x^2+16)-9; 4) y=-x^2+8x-16; 2) y=4+|x|; 5) y=-1/3 x^2+2x; 3) y=v(-x^2); 6) y=1/(1+x^2). *Цитирирование задания со ссылкой на учебник производится исключительно в учебных целях для лучшего понимания разбора решения задания.


Ниже вариант решения задания из учебника Мерзляк, Номировский, Полонский 11 класс, Просвещение:
272. Найдите область значений функции:
1) y=v(x^2+16)-9; 4) y=-x^2+8x-16;
2) y=4+|x|; 5) y=-1/3 x^2+2x;
3) y=v(-x^2); 6) y=1/(1+x^2).
